(通讯员:张雨欣)

一、研究背景与意义
时间和空间,在物理学乃至人类认知中都是非常重要的概念。尽管它们在爱因斯坦的狭义相对论中统一起来,但时间和空间依然是非常不同的概念。这个表现在闵氏空间中,度规ds2=-dt2 + dx2 + dy2 + dz2, 在t和x的交换下并非不变的。与之相对应的,在空间坐标x与y的交换下,度规形式完全不变。
黑洞作为广义相对论的经典解,一直是探索宇宙极端物理现象的重要对象。黑洞不仅具有引力奇点,还拥有视界这一特殊边界,其特性可以用来研究时空几何和引力作用的极限情况。而反德西特时空由于其边界特性,在黑洞研究及AdS/CFT对偶理论中具有重要地位。
近日,天津大学-新加坡国立大学福州联合学院吕宏教授团队在Physics Letters B发表了一篇关于“一般维度旋转AdS黑洞的时空交换对称性”的文章。研究发现,在一些特殊的弯曲时空中,也就是反德西特(Anti-de Sitter, AdS)时空中的转动黑洞中,存在一个时间和空间交换的对称性。在AdS背景中,黑洞的旋转不仅影响其几何结构,还引发了关于时空坐标关系的新问题。旋转AdS黑洞解(如Kerr-AdS黑洞)是AdS时空中一类重要的解,其几何特性可以通过引入旋转参数a, b等描述,这些参数决定了黑洞的角动量分布及其与时空曲率的关系。此前已有研究发现,五维Kerr-AdS黑洞存在一种离散对称性,这种对称性暗示了时间和角坐标可以在特定条件下互换。这一发现为研究黑洞时空的对称性及其物理意义提供了新的思路。
二、图文解读
(一)旋转AdS黑洞中的几何与对称性
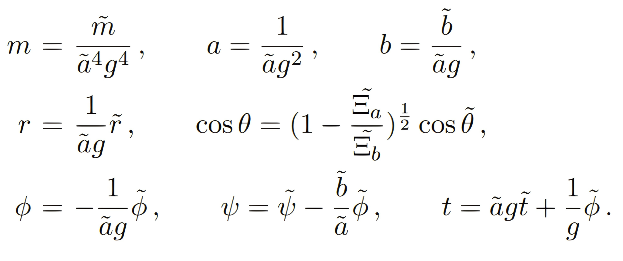
五维Kerr-AdS黑洞的度规由一系列复杂的几何函数描述,其中径向变量r、极坐标及其相关修正项共同决定了时空的基本结构。黑洞的度规首先由霍金等人构造,其表达式为:

其中,关键几何量的定义如下:

,描述了径向上的动力学行为;
ρ² = r² + a² cos²θ + b² sin²θ,定义了修正后的径向度量;
Ξₐ = 1 - a² g² 和 Ξb = 1 - b² g²,表示旋转参数与AdS曲率的关系。
上述度规中,时间坐标t和角坐标 φ, 共同决定了黑洞的对称性结构。

这一时间空间(φ <->gt)交换的对称性是五维Kerr-AdS黑洞中局域几何的一种变换规则。虽然这种变换并不会改变黑洞的基本结构,但它显著地影响了热力学变量(如质量和角动量)的表现形式。
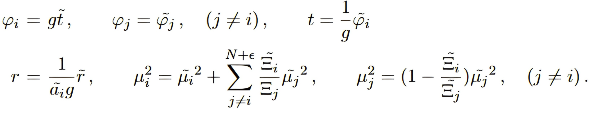
(二)高维时空中的对称性推广
在更高维度的AdS黑洞中,旋转轴的数量会随维度增加而增加。例如,在D维空间中,黑洞的旋转轴可以有N = (D-1)/2 个。每个旋转参数ai对应一个角坐标φi,其对称性变换规则为:

这一规则将时间与任意一个旋转方向的角坐标互换,从而定义了一个更广泛的时空互换对称性。通过数学推导,研究发现这种对称性在不同维度中表现出以下规律:
- 在四维时,质量M与角动量J的关系为M ↔ g J;
- 在三维时,M和J保持不变,但几何结构的对称性表现更为复杂。
(三)研究结果与意义
本研究揭示了时空互换对称性对AdS黑洞热力学变量的深远影响。通过理论分析和数值计算,得出以下主要结论:
1.时空互换对称性可以推广至任意维度的旋转AdS黑洞。
2.质量M、角动量J以及熵S等热力学变量均受到该对称性的非线性修正。
这种对称性目前只存在于AdS黑洞中,其物理意义还有待进一步理解,至少它对AdS/CFT对偶框架中的场算符对称性研究提供了新的线索。
三、文献信息
天津大学-新加坡国立大学福州联合学院为论文的第一通讯单位。天津大学与新加坡国立大学福州联合学院的硕士生卢思越为论文第一作者,天津大学福州国际联合学院赵鹏副研究员为论文第二作者,天津大学理学院吕宏教授(兼任天津大学-新加坡国立大学福州联合学院学术带头人)为论文通讯作者。
四、原文链接:
https://doi.org/10.1016/j.physletb.2024.138869